[MySQL] R-Tree Index 와 공간 탐색
MySQL 8.0 기준으로 작성한 글입니다.
이 글에서는 MySQL 의 R-Tree 에 대한 개념만 정리합니다.
1. R-Tree

R-Tree 는 점, 선, 면(다각형)과 같은 다차원 정보를 효율적으로 저장하기 위한 트리 형태의 자료구조 입니다.
보통 지도에서 좌표, 거리, 지역의 윤곽선 등을 저장하여 해당 개체를 더 빠르게 쿼리하는 목적으로 사용됩니다.
(예를 들면 "현재 위치로부터 1km 이내의 식당들 검색")
1.1 MBR : 최소 경계 사각형

R-Tree 의 핵심은 MBR(최소 경계 사각형) 입니다.
MBR 은 Minimun bounding rectangle 로 특정 도형을 감싸는 최소 크기의 사각형을 의미합니다.
하나의 도형뿐만 아니라 근처의 도형도 함께 감싸는 저장방식을 통해 도형의 포함 관계를 이용할 수 있습니다.
B-Tree 와 유사하게 특정 범위의 도형을 묶어서 저장할 경우, 탐색 시간을 획기적으로 줄일 수 있기 때문입니다.
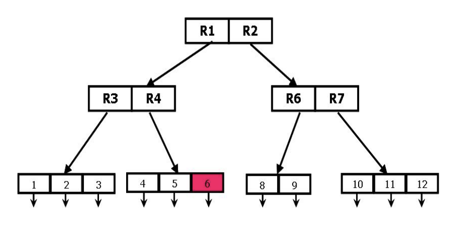
1.2 R-Tree 자료구조

R-Tree 자료구조는 B-Tree 와 흡사한 형태로 구성되어있습니다.
각 노드에 저장할 수 있는 도형의 개수는 사전에 지정되는데요.
최대 M개에서 최소 m(M/2)개 저장할 수 있습니다.
또한 B-Tree 처럼 리프 노드에 데이터(도형)를 저장하고, 리프 노드가 아닌 노드는 MBR 간의 포함관계를 표현합니다.
1) 탐색
탐색 연산의 시간 복잡도는 평균 $O(log_{M}n)$ 이고, 최악의 경우에는 $O(n)$ 입니다.
(M : 노드당 저장되는 도형 개수, n : 노드 수)
탐색은 Top down 방식으로 진행되며 로트 노드부터 리프 노드까지 내려갑니다.
이때 MBR 간에 중첩된 영역이 많을수록 탐색 성능은 떨어지는데요.
그 이유는 중첩된 영역이 이 많을수록 탐색할 노드가 많아지기 때문입니다.
탐색 과정은 다음과 같습니다.
- 루트 노드부터 모든 하위 노드들을 순회하며 MBR 을 이용하여 검색 영역 내에 들어오는지 검사
- 리프 노드를 찾으면 포함된 도형들이 검색 영역에 포함되는지 확인

2) 삽입
삽입 연산은 $O(n)$ 으로 성능이 뛰어나진 않은데요.
그 이유는 삽입 시 MBR 을 최소로 확장시키는 노드를 찾아 도형을 삽입하기 때문입니다.
삽입 과정은 다음과 같습니다.
- 트리를 순회하며 어떤 리프 노드에 삽입하면 확장되는 MBR 영역이 최소가 되는지 확인
(확장되는 면적이 동일한 경우에는 MBR 면적이 작은 것을 선택) - 선택한 리프 노드에 도형을 삽입
(노드가 담을 수 있는 최대 개수를 넘는다면 분할 과정이 진행됨)- 가장 멀리 떨어진 두 개의 도형 탐색(MBR 이 최대가 되는 두 도형, 이 도형을 둘을 노드로 삼음)
- 두 도형 중 MBR 확장이 최소가 되는쪽으로 삽입
- ii 를 반복하다, 오버플로우가 발생하면 다른 노드로 나머지 노드 삽입
- 모든 도형이 노드에 포함되면 분할 종료
- 삽입 후에는 트리 구조를 재구성한다.


3) 삭제
삭제 연산의 시간복잡도에 대한 자료는 찾지 못했으나, 탐색 연산 + @ 가 될 것이라 생각합니다.
삭제 과정은 다음과 같습니다.
- 리프 노드에서 삭제할 도형을 제거하고, 부모 노드의 사각형은 크기가 축소됨
(삭제된 도형이 속한 MBR 의 크기 축소) - 만약 리프 노드의 도형 개수가 최소 개수(M/2) 이하가 된다면 트리를 재구성함
- 언더 플로우가 되는 노드를 제거하고, 그에 속하는 도형은 트리에 재삽입함




2. MySQL Spatial Index
MySQL 에서는 Spatial Index 를 생성하면 앞서 살펴봤던 R-Tree 자료구조를 이용합니다.
MyISAM 과 InnoDB 스토리지 엔진 모두 Spatial Index 를 지원합니다.
2.1 생성 방법
1) CREATE TABLE
CREATE TABLE geom (g GEOMETRY NOT NULL SRID 4326, SPATIAL INDEX(g));2) ALTER TABLE
CREATE TABLE geom (g GEOMETRY NOT NULL SRID 4326);
ALTER TABLE geom ADD SPATIAL INDEX(g);3) CREATE INDEX
CREATE TABLE geom (g GEOMETRY NOT NULL SRID 4326);
CREATE SPATIAL INDEX g ON geom (g);2.2 Spatial data type
MySQL 의 Spatial data type 은 크게 Single geometry 타입과 Collections 타입으로 나누어집니다.
이 구조는 OpenGIS Geometry Model을 따른다고 하는데요.
각 타입들에 대한 내용은 아래에서 알아보겠습니다.
1) Single geometry
2차원 좌표공간에 존재하는 0차원(점), 1차원(선), 2차원(면)의 도형을 표현하는 자료구조들 입니다.
- GEOMETRY : 0~2차원 도형을 모두 포함
- POINT : 0차원(점)을 나타냄
- 속성 : X, Y 좌표값
- 활용 : 버스 정류장의 위치 등
- LINESTRING : 1차원(선)을 나타냄
- 속성 : 두 점(POINT)
- 활용 : 두 지점간 거리 등
- POLYGON : 2차원(면)을 나타냄
- 속성 : LINESTRING 집합
- 활용 : 특정 영역 표시 등
2) Collections
- GEOMETRYCOLLECTION : 0~2차원 도형을 모두 포함
- MULTIPOINT : 0차원(점)을 나타냄
- 속성 : 중복되지 않는 POINT 집합
- 활용 : 여러 지점을 동시에 표시(놀이공원의 매표소들 위치 등)
- MULTILINESTRING : 1차원(선)을 나타냄
- 속성 : LINESTRING 집합
- 활용 : 하천, 고속도로 표시 등
- MULTIPOLYGON : 2차원(면)을 나타
- 속성 : POLYGON 집합(POLYGON 을 구성하는 LINESTRING 은 단 하나의 POLYGON 에만 속함)
- 활용 : 도시의 호수들의 영역 표시 등(system of lakes)
2.3 SRID
Spatial Index 의 생성 방법을 다시 살펴보겠습니다.
CREATE TABLE geom (g GEOMETRY NOT NULL SRID 4326, SPATIAL INDEX(g));여기서 g 컬럼 선언부에 SRID 4326 이라는 구문이 있습니다.
이게 어떤것을 의미하는지 살펴보려고 하는데요.
그러나 SRID 를 얘기하려면 먼저 좌표계에 대해서 알아야 합니다.
1) 좌표계
기하학에서 2차원 평면 혹은 3차원 공간안에서의 특정 위치를 표현하는 방식을 의미합니다.
이 중에서 위치, 지도 서비스에서는 지구상에 특정 지점을 표현하기 위한 좌표계를 사용하게 되는데요.
이 처럼 서비스마다 각자 목적에 맞는 좌표계를 선택하여 사용하게 됩니다.
참고로 MySQL 의 information_schema 의 st_spatial_reference_systems 테이블에서 지원하는 좌표계를 확인할 수 있습니다.
mysql> desc information_schema.st_spatial_reference_systems;
+--------------------------+---------------+------+-----+---------+-------+
| Field | Type | Null | Key | Default | Extra |
+--------------------------+---------------+------+-----+---------+-------+
| SRS_NAME | varchar(80) | NO | | NULL | |
| SRS_ID | int unsigned | NO | | NULL | |
| ORGANIZATION | varchar(256) | YES | | NULL | |
| ORGANIZATION_COORDSYS_ID | int unsigned | YES | | NULL | |
| DEFINITION | varchar(4096) | NO | | NULL | |
| DESCRIPTION | varchar(2048) | YES | | NULL | |
+--------------------------+---------------+------+-----+---------+-------+2) SRID
즉, SRID 는 Spatial Reference Identifier 의 약자로 각 좌표계의 고유식별자 입니다.
그래서 컬럼 선언 혹은 데이터 삽입시 원본 데이터의 SRID 와 같게 설정해주어야 합니다.
MySQL 에서는 SRID 를 설정하지 않으면 기본적으로 0 으로 설정됩니다.
만약 SRID 에 차이가 있으면 거리 계산 혹은 좌표 표현시 오차가 발생할 수 있습니다.
참고 자료